O prefeito de Ourinhos Lucas Pocay (PSD) publicou no começo da noite desta segunda-feira, 3, uma nota, que muitos estão chamando de mais uma “Fake News” do prefeito, que afirma que se reuniu, na tarde de hoje (3) com os “verdadeiros representantes” dos coletores. Sem nomear os participantes cerca de seis servidores, fora membros da diretoria da SAE (Superintendência de Água e Esgoto de Ourinhos), entre eles o Superintendente Inácio J. B. Filho, Lucas disse que os servidores “entenderam o seu projeto e se dispuseram a conversar com o restante da categoria para acabar com a politicagem de um grupinho”. O prefeito desde o inicio tenta desqualificar a grande maioria dos coletores que lutou contra aprovação do projeto de transferência da coleta da SAE para a Prefeitura, na Câmara e continua lutando pela sua revogação.
“Infelizmente, tem algumas pessoas que, por interesse pessoal ou político, tentam atacar, distorcer e acaba prejudicando a cidade, mas não vamos aceitar isso. Essa reunião é uma demonstração de que com diálogo e respeito podemos esclarecer dúvidas e avançar juntos. Temos convicção que estamos sempre fazendo o melhor para a nossa população e para a nossa cidade. Nossos princípios são inegociáveis.”, disse o prefeito Lucas Pocay
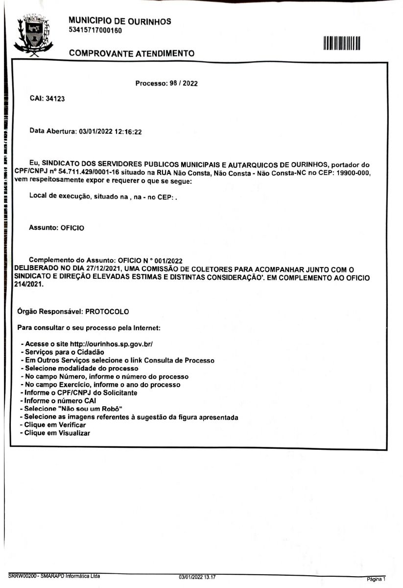
Porém a reunião, feita por Lucas, às portas fechadas, não contou com a participação do SINSERPO (Sindicato dos Servidores Municipais e Autárquicos de Ourinhos) e muito menos, da verdadeira comissão dos coletores de lixo, que foi deliberada em assembleia, feita com os 55 coletores da SAE (Superintendência de Água e Esgoto de Ourinhos), conforme documento protocolado na própria Prefeitura de Ourinhos. (confira o documento abaixo)


De acordo com o presidente do sindicato, Edinilson Biguá, ele só ficou sabendo da reunião através da imprensa.
“Esta reunião não tem legitimidade nenhuma. A verdadeira comissão que representa os coletores foi eleita em assembleia e o oficio com os nomes foram publicados e ninguém participou. O prefeito mais uma vez tenta iludir a população”, lamentou Biguá.
"Esses que estavam lá não participam de nossas lutas, não são os nossos representantes e jamais serão", destacou um dos coletores, que acredita que foi uma grande armação de Lucas e Inácio para desestabilizar o movimento grevista.
O movimento grevista dos coletores se mantém. A coleta deverá acontecer nesta terça-feira, 4, mas pode ser paralisada a qualquer momento.
Diante desta atitude do prefeito Lucas Pocay, que mais uma vez não atendeu verdadeiramente os coletores, o chefe do executivo deixa claro que não pretende ouvir e muito menos garantir que os cargos de coletores serão criados na Prefeitura de Ourinhos e que não vai terceirizar a coleta de lixo domiciliar, que são as principais reivindicações dos verdadeiros coletores de Ourinhos.





